当前位置:首页 >> 技术&动态 >> 技术与常见问题 >>布氏硬度测试的简要说明

布氏硬度测试的简要说明

作者:硬度计服务商创诚致佳
发布时间:2020-05-14
内容摘要:使用这种硬度测试方法,将具有确定测试力(F)的硬金属球压在测试件表面上,并穿透到不同的深度(取决于硬度)。光学测量所得的球形压印小刀的直径。下面的公式中,硬度值能的基础HBW(ħ ARTE 乙 rinellw ^ ungsten硬质合金球),可以计算出来。 在10到15秒(钢和铁)或10到180秒(有色金属及其合金)的加载时间后,取消测...

使用这种硬度测试方法,将具有确定测试力(F)的硬金属球压在测试件表面上,并穿透到不同的深度(取决于硬度)。光学测量所得的球形压印小刀的直径。下面的公式中,硬度值能的基础HBWħ ARTE  rinellw ^ ungsten硬质合金球),可以计算出来。

 

在10到15秒(钢和铁)或10到180秒(有色金属及其合金)的加载时间后,取消测试力。遵守加载时间对于考虑材料的流动行为很重要。每种材料都有流动特性(柔软的材料更高):随着时间的推移,压头可以更深地渗透到材料中,直到渗透过程停止或材料不再被压缩为止。

 

压痕的表面通过对工件中产生的压痕直径的光学测量来确定。待确定的直径d由两次旋转90度(d1 + d2)/ 2的测量值的平均值形成。如果压痕不是圆形的(椭圆形),则计算硬度所需的直径从最大d 1和最小直径d 2平均值。

 

过去,钢球用作压头。自2006年以来一直要求使用碳化物球(碳化钨)。根据均匀性材料厚度硬度,使用不同直径的球:Ø10 | 5 | 2.5 | 2 | 1 | 0.625毫米 必须使用哪种测试方法(球直径和测试力的组合)是由不同的所需负载水平得出的。钢材应使用HB30的负载水平(相对于球面的力比-公式F /D²),而较软的有色金属则应使用HB10 / HB5 / HB2.5 / HB1负载水平。

 

载荷系数由力除以球直径的平方数(F /D²)计算得出,可以正确选择测试载荷或测试方法。如果选择的加载程度过高(基于材料的硬度),则布氏球会被压入材料太深-评估不再可能或不正确。

 

在进行布氏硬度测试时,测试力仍以kg或kp给出。为了使确定的硬度值,转换表和材料规格有效/保持有效,测试力得以保留-测试方法保留了其指定,尤其是基于以kg(kgf)为单位的测试力。表中指定的负载力(斜线后)表示测试力,单位为kp。由于将测试力转换为牛顿会得出奇数值,因此该表格在牛顿学计量上是不正确的。

 

计算

负载等级
30

HBW10 / 3000

测试力3000 kp
球-Ø10 mm

3000 /(10 x 10)

3000/100 = 30

负荷水平

30日

第十名

5

2.5

1.25

直径Ø10

HBW10 / 3000

HBW10 / 1000

HBW10 / 500

HBW10 / 250

HBW10 / 125

球Ø5

HBW5 / 750

HBW5 / 250

HBW5 / 125

HBW5 / 62.5

HBW5 / 31.25

球Ø2.5

HBW2.5 / 187.5

HBW2.5 / 62.5

HBW2.5 / 31.25

HBW2.5 / 15.625

HBW2.5 / 7.8125

球Ø1.25

HBW1.25 / 46.875

HBW1.25 / 15.625

HBW1.25 / 7.813

HBW1.25 / 3.906

HBW1.25 / 1.953

球Ø1

HBW1 / 30

HBW1 / 10

HBW1 / 5

HBW1 / 2.5

HBW1 / 1.25

球Ø0.625

HBW0.625 / 11.72

HBW0.625 / 3.906

HBW0.625 / 1.953

HBW0.625 / 0.977

HBW0.625 / 0.488

用料


铸造铸铁
铸铁
展性铸铁铸铁

铝铝> 55 HB
变形合金
铝铸造合金
镁合金
镍合金
锌合金
铸造合金
铜镍铸造合金
铜铜
黄铜
青铜

铝铝
25至55 HB
Zn锌

铝铝
<25 HB


铅锡锡

 

表中仅列出最常用的方法。其他方法也是可行的,但由于结果的可比性较差,因此并不常见。

 

用低倍率的显微镜(取决于球直径和测试载荷14-100倍)测量球印痕(球冠)的直径。当前的技术水平使用具有自动图像处理(图像分析软件)的摄像机:布氏硬度是根据测试力与压印表面的比值来计算的。以牛顿为单位的试验力除以值0.102(9.81的倒数=将牛顿转换为kgf的因子)。这样,当前度量衡的测量值(通常需要以牛顿为单位的力规格)对应于用当前无效的度量力单位(kg或kgf)确定的测量值。转换为偶数牛顿值(系数9.81)没有意义,因为否则所有现有的硬度测试机

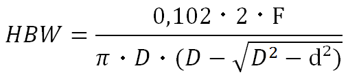
为了计算布氏硬度,在以下公式中将使用以N为单位的力F,以mm为单位的球直径D和以mm为单位的平均压痕直径d。分母中的值是所生成的球形印象(球形盖)的表面计算公式的结果。

符合标准的信息布氏硬度测试

 


根据03/2006的DIN EN ISO 6506-1,必须始终规定硬度值,过程,球的直径和试验力。

:246 HBW 10/3000

这里的意思是

:246

=硬度值


:HBW 

ħ ARTE  rinell与W¯¯ ungsten碳化物硬金属球


:10 

=球直径D以毫米为单位


:3000 

=测试载荷(力F),单位kg或kgf

 当测试负载> 15 s时,还必须说明负载的持续时间。

 例

:246HBW10 / 3000/60

对于合金钢合金钢,布氏硬度可以转换为具有一定公差的抗拉强度(Rm以N /mm²或MPa为单位)。Rm x3.5因子可用于此目的。

 

布氏标准:
*欧洲和国际标准: EN ISO 6506-1
*美国标准:ASTM E10-08


推荐产品


北京创诚致佳科技有限公司是国内专业从事硬度计销售、选型及方案定制服务商,提供橡胶硬度计的报价和测试方案,主营产品有 进口硬度计,布氏硬度计,维氏硬度计,洛氏硬度计,显微硬度计,橡胶硬度计,赵氏硬度计,里氏硬度计。如需采购金相显微镜等产品,欢迎联系创诚致佳咨询价格。

全国统一热线:400-0022-082

联系我们: Tel: 400-0022-082, E-mail: info@hugetall.com   网站地图