该测试包括将直径为“ D”的钢球在载荷“ P”下压入试样一段已知的时间,并测量去除载荷后表面上留下的压痕的平均直径“ d ”。然后,将布氏硬度值(BHN)计算为负荷(以kg-f为单位)除以压痕的表面积(以mm 2为单位)。
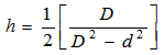
压痕深度(h)由下式给出:

因此,

其中,
D =以毫米为单位的球直径
P =以kg-f为单位的施加载荷,以及
d =以毫米为单位的压痕直径。
试验负荷P要施加取决于压头的直径D和样品的材料。该表可用作参考。测试表面应加工得光滑且平整。试样的厚度应不小于压痕深度的八倍。
试样的表面必须经过机加工,研磨,研磨或抛光。
将机器设置为测试负载所需的阶段。
选择要使用的压头并将其固定在机器上。
将样品放在测试台上,并通过旋转手轮并将百分表上的两个指针都置于“设定”位置,在其上施加10 kg-f的较小载荷。
向后旋转加载杆,将主要负载(测试负载的剩余部分)施加到样本上。
在指定的停留时间(15秒)内准确保持样品上的负载,然后向前转动加载杆将其释放。
取出样品,并使用布氏显微镜测量在其上形成的压痕的直径。
记录测试过程中的观察结果,如下图所示,并使用上述公式计算布氏硬度值。

由于滚珠尺寸和负载的种类繁多,因此可以使用布氏硬度法测试很大范围的硬度值。
由于布氏测试使用相对较高的载荷,因此使用相对较大的压痕,因此经常用于确定经过大型零件锻造或铸造的材料的硬度。
北京创诚致佳科技有限公司是国内专业从事硬度计销售、选型及方案定制服务商,提供橡胶硬度计的报价和测试方案,主营产品有 进口硬度计,布氏硬度计,维氏硬度计,洛氏硬度计,显微硬度计,橡胶硬度计,赵氏硬度计,里氏硬度计。如需采购金相显微镜等产品,欢迎联系创诚致佳咨询价格。
联系我们: Tel: 400-0022-082, E-mail: info@hugetall.com 网站地图