韦氏硬度检测方法起源于美国,由美国 Webster 公司生产。韦氏硬度计早于20 世纪80 年代随铝型材生产线·起引进而引人我国。由于其使用上的特点,应用逐年增多,国内已能生产品质优良的韦氏硬度计。现在已有韦氏硬度计计最检定规群“金属卡氏硬度计JJG 944 -1999(试行)”和色金属行业标准《铝合金氏硬度试验方法》YS/T 420-2000,但有关韦氏硬度的技术资料介绍较少。
韦氏硬度检测原理
韦氏硬度计的基本原理是采用一定形状的淬火压针,在标准弹簧检测力作用下乐人试样表面,定义0.01 mm 的压人深度为一个市氏硬度单位。材料的硬度与压入深度成反比。压入越浅硬度越高,压入越深硬度越低。
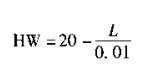
韦氏硬度检测计算公式

HW =20-0.01
式中 HW——韦氏硬度符号;
L——压针伸出长度,即入试样深度/mm;
0.01——定义值/mrn
硬度值的表示:如压针只压人深度 0.05 mm,表头指针将指示在15刻度。表示为HW =20-5=15 单位硬度值,将其书写于硬度符号之前即为15 HW。
北京创诚致佳科技有限公司是国内专业从事硬度计销售、选型及方案定制服务商,提供橡胶硬度计的报价和测试方案,主营产品有 进口硬度计,布氏硬度计,维氏硬度计,洛氏硬度计,显微硬度计,橡胶硬度计,赵氏硬度计,里氏硬度计。如需采购金相显微镜等产品,欢迎联系创诚致佳咨询价格。
联系我们: Tel: 400-0022-082, E-mail: info@hugetall.com 网站地图